產品介紹 | PRODUCTS
聯系我們 | CONTACT US
- 內貿部:18953701056 (劉廣臣)
- 外貿部:18063200578 (任真真)
您所在的位置首頁 >>
產品介紹 >>
有機膦系列阻垢緩蝕劑、螯合劑 >>
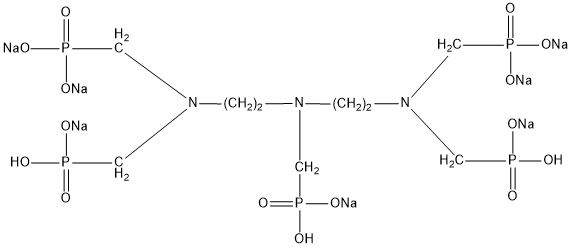
二乙烯三胺五甲叉膦酸七鈉 DTPMP·Na7產品介紹
二乙烯三胺五甲叉膦酸七鈉 DTPMP·Na7
Hepta sodium salt of Diethylene Triamine Penta (Methylene Phosphonic Acid) (DTPMP·Na7)
CAS No.68155-78-2 (7-Na),22042-96-2 (x-Na)
分子式 C9H21O15N3P5Na7 相對分子質量:727
一、性能與用途
DTPMP·Na7可用作阻垢劑、高效螯合劑、優良的BaSO4阻垢劑,DTPMP·Na7廣泛用于冷卻水處理、過氧化物漂白的穩定劑、洗滌助劑、市政工業清潔用水、地熱水處理、油田阻垢。
二、技術指標
| 項 目 | 指 標 | |
| HG/T 4330-2012 | ||
| 外 觀 | 紅棕色液體 | 紅棕色透明液體 |
| 活性組分(以DTPMPA計)/% | 31.5~33.5 | 24.0~26.0 |
| 活性組份(以DTPMPA·Na7計)/% | 40.0~42.5 | 30.5~33.0 |
| 總磷含量(以PO43-計)/% | -- | 19.7~21.7 |
| pH值(1%水溶液) | 7.0~9.0 | 7.0~9.0 |
| 密度(20℃)/g·cm-3 | ≥1.25 | 1.24~1.34 |
| 氯化物(以Cl-計) /% | ≤5.0 | ≤5.0 |
| Fe含量(以Fe計) /mg·L-1 | ≤20.0 | ≤20.0 |
三、包裝與貯存
DTPMP·Na7用塑料桶包裝,每桶25Kg 或250Kg,也可根據用戶需要確定。貯于室內陰涼處,貯存期十個月。
四、安全防護
DTPMP·Na7,操作時注意勞動保護,應避免與皮膚、眼睛等接觸,接觸后用大量清水沖洗。
關鍵字:DTPMP·Na7,二乙烯三胺五甲叉膦酸七鈉 DTPMP·Na7,二乙烯三胺五甲叉膦酸七鈉,DTPMP,DTPMPA,DTPMP鈉鹽,DTPMP·Nax,DTPMP·Na5,DTPMP·Na7
銷售熱線:0632-5113088 銷售傳真: 0632-5113155
地址:山東省棗莊市市中區十里泉東路1號 網址:http://www.atmgw.com E-mail:th@thwater.com
版權所有© :2006-2021 山東泰和科技股份有限公司 魯ICP備09091669號-43
地址:山東省棗莊市市中區十里泉東路1號 網址:http://www.atmgw.com E-mail:th@thwater.com
版權所有© :2006-2021 山東泰和科技股份有限公司 魯ICP備09091669號-43


